x
Send Your Inquiry Today
Quick Quote

Single-Phase vs Three-Phase Transformer: Which is Best for Your Power Distribution

For safe, efficient, and practical power transmission and distribution over long distances, you need a transformer. You can choose either single phase transformer or a three-phase transformer, depending on your power distribution needs.

In this article, our engineers will help you to choose a suitable power transformer that matches your distribution specifications.

Let’s start with the basics:

Fundamentals of Power Transformers

There are many ways to classify power transformers in the market. For instance, we have:

  • By Application – Examples include step-up transformers, step-down transformers, autotransformers, earthing transformers, etc.
  • Cooling method – Common examples are oil-filled transformers and dry-type transformers.
  • Voltage class – Common options are class I (below 69kV) and class II (115kV to 765kV)
  • Construction – These include core-type transformers and shell-type transformers
  • Phase – There are single phase transformers and three phase transformers

For the scope of our discussion here, we will focus on classification based on phase.

A single phase transformer uses the electromagnetic induction principle to change the voltage magnitude in a single-phase alternating current power. That is, you can easily distinguish it with one power conductor and a neutral conductor.

You can see that in the power transformer diagram below:

Single Phase Transformer

Photo credits: Electricaltechnology.org

Unlike the single phase power transformers, the 3-phase power transformer uses the electromagnetic principle to change electrical energy in three different alternating currents. Usually, the currents are out of phase by 120°.

Therefore, you can distinguish the transformers by the number of conductors. In most cases, you will find three (power conductors) or 4 wires ( with 3 power conductors and a neutral wire).

Here is a practical example:

Three Phase Transformer

Photo credits: Electricaltechnology.org

Of course, with the different structural design, you should expect the unique electrical power characteristics, which ultimately determine the specific application needs.

Transformer to Choose for Optimal Power Transmission

The best way to choose a transformer for any power distribution project is by first understanding the differences. By doing so, you will clearly establish whether it suits your power transmission and distribution needs.

Let’s first summarize the key differences between single phase and three phase transformers:

Features to CompareSingle-phase Transformer Three-phase Transformer
Construction·      Simple construction design with only two sets of windings·      More complex construction since it has three sets of primary and secondary conductor windings
Effects of coils failing·      Failure in one coil implies the entire system shuts down·      With a delta configuration, if one phase fails, the remaining system can continue to operate. However, it reduces the load capacity
Transformer cost·      Less costly when you choose it for low-power applications·      For higher scales, it offers affordable kVA

·      Initial cost is usually higher

Efficiency·      During the transmission process, it results in more energy loss. Therefore, it is less efficient for high-power distribution·      For large-scale power transmission and distribution, it guarantees high efficiency
Power flow·      Pulsating power delivery·      “Smooth” power delivery
Recommended Applications·      Small rural areas, offices, and homes·      Large data centers, commercial buildings, industrial plants, etc.

With the above overview in mind, let’s move a step further to understand key specifics of single-phase vs three-phase transformers and how they differ for specific applications.

  • Wiring and Complexity

One of the main distinguishing factors between these two power transformers is the transformer wiring. That is quite evident from the transformer diagram below:.

Transformer Diagram

Wiring in Three-Phase and Two-Phase Transformers – Photo Credits: UBT

Therefore, to reiterate this:

A single phase transformer has simple wiring with only one conductor in the primary coil and the other in the secondary coil. Due to the lower power it can handle, it is a perfect choice for residential applications.

On the other hand, the three-phase system has a relatively complex wiring system. That is, they come in the star-delta configuration. Therefore, they deliver higher power with more wires in the transformer coil.

Writing Complex

Delta – Star Connection – Photo Credits: IQS Directory

By evaluating the wiring complexity, it is quite evident that it will affect the initial cost, design, and serviceability.

  • Efficiency in Power Delivery

First, it all comes to matching transformers with the correct use.

For single phase system, in every cycle, there is an instance where the power virtually drops to zero. Of course, for standard applications like lighting bulbs, this is virtually insignificant, and you may not notice the effect.

However, for industrial applications such as powering motors, the pulsating phenomenon can be devastating. Ideally, it will result in vibrations that cause wear in the motor systems. That is why 3-phase is a perfect choice since it delivers “smooth” and steady power that never drops to “zero”.

  • Working Principle

In the 1-Φ transformers, you will input a single AC, which the transformer steps up or down depending on its configuration. At the same time, the transformer’s magnetic flux will mainly alternate in one direction. Of course, this will cause some energy losses due to hysteresis.

Where we have the equation as:

Equation 1

Where:

  • Turns in primary and secondary coils are Np and Ns, respectively
  • Primary and secondary voltages are Vp and Vs, respectively
  • Currents in primary and secondary coils are Ip and Is, respectively

For 3-Φ transformers, the inputs come as 3 AC sources, which the transformer steps up or down depending on the configuration. However, in 3-Φ transformers, the magnetic flux overlaps, which eventually cancel the core losses.

By cancelling the core losses within the transformer, they increase power transmission efficiency by 5 to 10% when compared to the single-phase transformers.

Now, unlike the 1-Φ transformers, for 3-Φ transformers, you will evaluate the line values or phase values.

Therefore, when calculating power transmission, we usually introduce a factor of

Which basically implies:

Apparent power (S):

Equation 2

Real power (P)

Equation 3

As you design your power system, it is also important to consider the unique design of the three phase transformer and its configuration. The star and delta connection is an important differentiating factor.

Of course, it will lead you to an important concept of line and phase voltages.

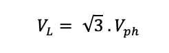
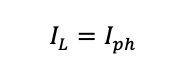
  • Star connection in three-phase transformers:

For voltage, we have:

Equation 4

For current we have:

Equation 5

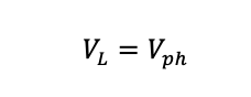
  • Delta connection in three-phase transformers:

Voltage relationship we have:

Equation 6

Current relationship we have:

Equation 7

Using both Single Phase and Three-Phase Transformers in One Transmission Line

With the dynamic power needs in various systems, at times, you may adopt a “hybrid” approach. That is, you may integrate both single phase and 3-phase transformers into one power transmission line.

Single Phase Transformer

Well, this is a practical solution that has been adopted in many projects. For instance, you may consider:

  • At Power Substation Levels to Distribution Lines in Specific Uses

Here, utility power transmission companies use three phase transformers to step-down voltage for distribution.

For factories that require three phase power distribution, they will definitely connect directly to the three phase transformers. However, for individual households with low power load requirements, you will install single -phase transformers. Remember, households will require power from only one phase.

But more importantly, the power infrastructure in such setups requires design and approvals by the local utility distributor or regulatory authority. This ensures it conforms to all the safety guidelines.

When to Choose a Transformer:

With all these in mind, you should choose:

  • 1-Φ transformers for: Loads <100 kVA, upfront cost is low, and only single phase power is available.
  • 3-Φ transformers when: Projecting future expansion, higher power demand, focusing on higher efficiency, and low energy consumption

Three Phase Transformer

FAQs

1.     Why are power transformers rated in kVA and not kW?

In any electrical system, we have both resistive loads and reactive loads (inductive loads and capacitive loads).

Usually, the resistive load uses the power supplied to it. On the other hand, reactive loads may cause some energy to bounce back to the source. And of course, this leads us to a variable called power factor (PF).

Since the transformer manufacturer cannot conclusively say what the end users will plug into the power line, they take care of all the possible loads. By doing so, they focus on the apparent power (kVA). Which means, they give you the total electrical capacity (voltage and current) the transformer can handle.

2.     Can you convert a 1-Φ transformer into a 3-Φ transformer?

No, this is not practical due to the structural difference between the two power transformers. That is, from the internal construction and magnetic circuit arrangements.

To bridge this gap, you can adopt the Scott-T connection (using two 1-Φ transformers) or use three single phases transformers. Of course, all these options will be costly compared to investing in one 3-Φ transformer.

For a 3-Φ variable frequency drive system, you will require standalone power equipment with transistors (IGBT and MOSFET), a rectifier, and a control unit that will generate a three-phase output.

3.     Can you convert three-phase transformers to supply single-phase power?

Yes, it is a common industry practice. You can use one phase out of the available three phases.

Partner with Zhongshao

Zhongshao is a trusted power transformer manufacturer in China. We have supplied over 3000 factories globally with different single-phase and three phase transformers for their power transmission and distribution.

With every transformer, we conduct detailed quality testing, and our team is always ready to help in both installation and commissioning. Download our product catalogue now.

Send your project detail
Quick Quote

We're Here to Answer All Your Questions

How Long Does Your Electric Equipment Delivery Takes?
The regular products in-stock can be shipped on the same day. Custom products may take longer to deliver. However, we deliver your orders on-time according to the contract.
How Do You Ensure the Quality of Your Electric Equipment?
We carry out production testing in strict accordance with the standards. Only after all the technical conditions have been met will the products be allowed to go out of the factory. We will provide you with inspection reports.
Do You Provide Warranty?
Yes, we provide lifetime warranty, only the cost of materials after the warranty period.
What After Sales Service Do You Provide?
The company will actively assist in solving your problems such as maintenance, repair, and more.
Do You Offer Design Consultation?
Yes. We have experienced engineers to provide expert advice so you can choose the right electrical equipment for your projects.
Scroll to Top